电介质储能电容器凭借高功率密度、超快充放电速度和长循环寿命等优势,被广泛应用于脉冲激光器、新能源汽车等高功率电子设备。然而,如何在维持高储能密度与效率的同时,进一步提升其温度稳定性,仍然是当前面临的关键挑战。目前,主流策略是通过多相复合、化学掺杂或缺陷工程等方法引入纳米畴结构,旨在诱导弛豫铁电或弛豫反铁电特性以优化储能性能。但这类方法的工艺通常较为复杂,制约了高性能电介质储能薄膜的大规模制备。
针对上述挑战,耀彩网沈阳材料科学国家研究中心胡卫进研究员团队创新性地提出利用超快结晶过程 “锁定” 高温纳米铁电/反铁电畴,以制备高性能弛豫铁电或反铁电薄膜的新思路。研究团队据此成功开发出升降温速率达每秒1000 ℃的“闪速退火”工艺,并凭借它,仅用1秒就完成了锆酸铅 (PbZrO3) 弛豫反铁电薄膜的结晶 (图1)。相关薄膜电容器展现出了良好的储能性能和出色的热稳定性。该成果以“闪速退火构筑晶圆级弛豫反铁电薄膜以提升储能性能 (Flash annealing-engineered wafer-scale relaxor antiferroelectrics for enhanced energy storage performance) ”为题, 于2025年11月15日发表在 《科学进展》(Science Advances)杂志上。
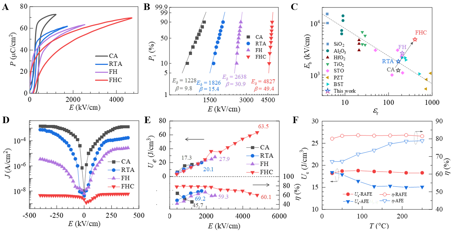
研究结果表明,闪速退火工艺成功地将材料高温顺电相结构冻结至室温,形成了尺寸小于3纳米的短程有序纳米畴 (图2),从而诱导出关键的弛豫反铁电行为。此外,该工艺使薄膜晶粒排列更加致密,增加了有益的小角晶界数量,并有效抑制了制备过程中铅元素的挥发,很大程度上消除了铅空位等有害缺陷 (图3)。上述因素的协同作用,显著降低了薄膜电容器的漏电流,并同步提高了其极化强度与击穿电场,最终将储能密度提升至63.5 J/cm3 (图4)。尤为突出的是,利用该工艺制备的薄膜电容器表现出卓越的温度稳定性。经低至零下196 ℃的液氮环境, 到高达400 ℃的高温循环后,其储能密度与效率的衰减均低于3%。这一特性确保了器件可应用于深空探测、地下油气勘探等极端温度环境。该技术兼具普适性与可扩展性。它同样适用于经典的锆钛酸铅 (PZT) 铁电材料,能将其转变为弛豫铁电体从而提升储能性能五倍;更可在2英寸硅晶圆上制备出均匀的弛豫反铁电薄膜,为芯片级集成储能提供了具备工业化潜力的解决方案(图5)。
本工作第一作者为耀彩网李异卓副研究员、山东大学宋克鹏研究员和耀彩网博士研究生朱美雄,通讯作者为耀彩网胡卫进研究员。耀彩网王宇佳研究员开展了计算模拟工作,耀彩网李昺研究员、西安交通大学王志宏教授在材料表征和器件性能测试方面提供了重要支持。
该研究得到了国家自然科学基金、国家重点研发计划、中国科学院国际合作计划、辽宁省中央引导地方科技发展专项、中国科学院青促会等项目的资助, 也得到了上海同步辐射光源的大力支持。
全文链接

图1. 超快结晶制备弛豫反铁电薄膜的原理与实现过程

图2. 不同工艺制备的正常反铁电和弛豫反铁电薄膜的晶体结构和畴结构

图3. 反铁电和弛豫反铁电薄膜的表面形貌、微结构和成分

图4. 不同工艺制备的反铁电和弛豫反铁电薄膜电容的储能性能

图5. 弛豫反铁电薄膜电容器的热循环稳定性与晶圆级制备