通过各种各样的热力学非平衡过程(快速淬火、物理或者化学气相沉积、电沉积以及球磨等手段),可以形成过饱和固溶体从而调控金属材料的性能,但过饱和固溶体在热力学上处于不稳定状态,在加热或者塑性变形时,它将分解成热力学稳定相以降低体系的自由能。长久以来,稳定过饱和固溶体以防止其分解是十分有挑战性的,尤其是在具有互溶间隙的合金体系中,相分解将通过上坡扩散主导的调幅分解机制自发进行。
大量研究表明,塑性变形诱导的晶粒细化在材料内部引入高密度的晶界、空位和位错等缺陷,这些缺陷作为扩散的通道,会加剧原子扩散。在晶粒被充分细化的金属和合金中,包括晶粒长大、第二相析出以及调幅分解在内的各种扩散过程被显著促进,这些现象在晶粒尺寸处于亚微米尺度的金属和合金中尤为显著。
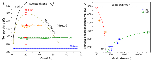
近期,耀彩网沈阳材料科学国家研究中心纳米金属科学家工作室在这一科学难题研究方面取得新突破。研究团队利用自主研发的低温塑性变形技术,将成分位于互溶间隙内的过饱和Al-21.7at%Zn合金的晶粒尺寸细化至10 nm以下并获得受限晶体结构。研究发现,单相过饱和固溶体结构受限晶体Al-21.7at%Zn合金具有极高的结构稳定性,其在互溶间隙温度范围内的调幅分解行为被完全抑制。此现象源于平均曲率为零的三维极小面界面结构以及极小尺寸晶粒内空位缺失同时抑制了置换式固溶体原子的晶间扩散和晶格扩散。此发现表明受限晶体结构可以有效抑制合金中各种由扩散控制的相变过程,进一步证明了这种新型亚稳结构在金属材料中的普适性,为提高过饱和固溶体稳定性以及发展高性能金属材料具有重要意义。
相关研究成果以“Stabilizing Supersaturation with Extreme Grain Refinement in Spinodal Aluminum Alloys”为题于6月5日在《先进材料》(Advanced Materials)期刊在线发表。沈阳材料科学国家研究中心徐伟副研究员、博士生钟一鸣为共同第一作者,卢柯研究员、李秀艳研究员为通讯作者。
上述工作得到了国家重点研发计划、国家自然科学基金以及中国科协青年人才托举工程等项目的支持。
DOI:10.1002/adma.202303650

图1.通过极端晶粒细化抑制调幅分解