耀彩网沈阳材料国家研究中心联合研究部刘洪阳副研究员和研究生张家雲等人组成的纳米碳材料负载金属催化剂研究小组与北京大学马丁教授、香港科技大学王宁教授等团队合作,通过金属铂(Pt)与富缺陷石墨烯载体之间相互作用的调控以及第二组分锡(Sn)的引入,在纳米金刚石/石墨烯碳载体上制备出原子级分散的全暴露Pt纳米团簇催化剂,进一步的研究发现该原子级分散的PtSn催化剂在催化正丁烷脱氢制烯烃中表现出优异的催化活性和稳定性。近日,《美国化学会催化》(ACS Catalysis) 以封面的形式发表了该项研究成果(DOI:10.1021/acscatal.9b00601)。
低碳烯烃是生产橡胶、塑料和其他聚合物的重要化工原料。低碳烷烃的直接脱氢是典型的工业上烯烃生产工艺,它是一种吸热反应,需要较高的温度才能获得满意的转化率和烯烃收率。到目前为止,美国UOP公司开发的铂锡合金催化剂(Pt3Sn/Al2O3)被认为是该反应的最佳催化剂之一,但是由于在高温脱氢过程中商业Pt3Sn合金催化剂不可避免要发生烧结与积碳导致催化剂快速失活。同时,Pt3Sn合金催化剂只有表面Pt原子参与反应,Pt原子的利用率较低。因此,开发一种高分散、高稳定性的铂基催化剂是催化烷烃脱氢制烯烃的关键。
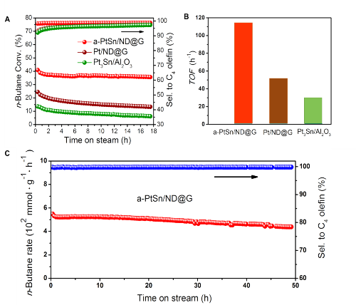
近年来刘洪阳副研究员带领的研究小组致力于新型纳米碳材料负载金属催化剂的设计与催化性能研究。经过多年的学术积累,他们首次利用纳米金刚石/石墨烯复合核壳材料(ND@G)为载体,制备出一种Sn辅助完全暴露的原子级分散Pt纳米团簇催化剂(a-PtSn/ND@G)。通过球差电镜表征(图1)并结合X射线吸收谱表征(图2),构建了平均三个Pt原子与富缺陷石墨烯载体配位成键的结构模型。该催化剂在较低反应温度450°C下获得良好的丁烷脱氢活性和稳定性,TOF是传统Pt3Sn合金催化剂的3.9倍,对烯烃产物的选择性达到98%以上(图3)。利用密度泛函理论(DFT)模拟计算研究发现,原子级分散的全暴露Pt纳米团簇保证了Pt原子的充分利用以及产物烯烃分子的最佳吸附/脱附行为(图4)。该项研究为开发高效工业脱氢制烯烃催化剂提供了新思路,正与企业合作开展进一步的应用研究。
上述工作得到了国家基金委重大研究计划重点基金、国家基金委重大研究计划培育项目、国家基金委面上项目、科技部重点研发计划“纳米专项”青年科学家项目、中科院青年促进会、中科院耀彩网、沈阳材料科学国家研究中心和中石化等企业项目的支持,以及上海同步辐射光源提供的大力支持。
全文链接:https://pubs.acs.org/doi/10.1021/acscatal.9b00601

图 1 原子级分散的a-PtSn/ND@G催化剂的球差HAADF-STEM 图像及EDX 分析

图2 (A, B) a-PtSn/ND@G和Pt/ND@G的EXAFS振荡小波变换;(C) 结构模型模拟图

图 3 原子级分散的a-PtSn/ND@G催化剂正丁烷脱氢性能:(A)铂催化剂的转化率和选择性,(B)TOF对比以及(C)在450oC催化稳定性

图 4 Pt3-Gr结构模型上正丁烷脱氢反应中间态及能量变化曲线

期刊封面