电调控磁性是自旋电子学中一个重要的研究方向。磁性材料中如果能赋予门电压的调控特性,将会为自旋阀等自旋器件增加一个具有巨大应用前景的调控自由度,从而实现自旋场效应管。近年来,随着二维范德华材料家族的发展,各种新物理现象不断涌现。二维范德华材料主要优势之一是由于Z轴维度降低,原有块体中的静电屏蔽减弱,从而可以对本征二维半金属或者半导体构建场效应器件,用来做传感器或者逻辑运算器件。在范德华材料中,少数层磁性二维半导体材料目前在各领域得到广泛研究,产生了诸多有趣的物理现象。然而,基于本征铁磁半导体二维材料的场效应器件至今研究甚少,而静电场调制其磁性的研究更是缺乏。
近期,由耀彩网张志东研究员、韩拯研究员主导,在山西大学光电研究所陈院森研究组、耀彩网杨腾副研究员、长沙理工丁美教授的主要合作下,联合国内外多家单位成功在Cr2Ge2Te6少数层本征铁磁二维半导体中利用固态门电压调控手段,实现了电荷与自旋的双重双极全电操控。该工作于7月2日在《自然·纳米科技》(Nature Nanotechnology)杂志在线发表。
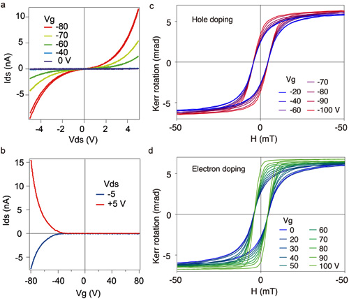
团队采用惰性气氛下原子层厚度的垂直组装,将3.5nm厚Cr2Ge2Te6少数层材料封装于两层氮化硼之中,解决了母材料空气中稳定性欠佳的问题。通过微纳米加工手段制备得到场效应器件,并进行系统的低温电学与磁学测量。电输运测量表明,少数层Cr2Ge2Te6在铁磁居里温度(~65K)以下,保持了载流子导通性,并且能够实现电子与空穴的双极场效应。室温下施加1V源漏电压,可得到数十微安的开态电流,开关比达到104以上。居里温度以下的低温微区磁光Kerr测量表明,该型纳米器件在门电压调控下,磁性亦能得到有效调控,并且与电输运相仿,存在双极门电压可调特性。证实了基于二维范德华铁磁半导体的自旋场效应器件的可行性。
耀彩网杨腾副研究员对本体系做了系统的第一性原理计算和微磁学模拟,计算模拟结果与实验结果十分吻合。模拟表明,该体系中存在特殊的自旋极化的能带,间接带隙的上下带边分别由Cr-d贡献的自旋多子态和Te-p贡献的自旋少子态,造就了实验上观测到的自旋与电荷的双重双极场效应。
少数层Cr2Ge2Te6是目前已知的首个拥有内禀自旋和电荷态密度双重双极可调特性、可将信息存储和逻辑运算集成为同一个单元的二维本征铁磁半导体材料。该工作为继续寻找室温本征二维铁磁半导体提供了一定的指导意义。同时,由于二维材料通常具备可大规模制备与柔性可穿戴等特性,发展前景十分广阔。
山西大学光电研究所陈院森研究组主导了低温微区磁光测量;耀彩网先进炭材料研究部孙东明研究员、北京大学物理系叶堉教授、长沙理工大学丁美教授在器件制备和分析方面提供了重要支持。包括北京大学、长沙理工、重庆大学、日本东京中央电力研究所在内的多家单位参与了本工作。金属研究所博士生王志、博士生董宝娟、山西大学博士生张桐耀、长沙理工丁美教授为本文共同第一作者。韩拯研究员、杨腾副研究员、陈院森为共同通讯作者。
该项工作得到了国家自然科学基金、科技部重点研发项目、沈阳材料科学国家(联合)实验室等资助。
全文链接

图1 少数层Cr2Ge2Te6范德华异质结器件的制备及其电荷载流子的场效应曲线。

图2 少数层Cr2Ge2Te6的载流子与自旋的双极电场操控。

图3 少数层Cr2Ge2Te6中电子/自旋双重双极场效应的第一性原理模拟。