晶界是晶体材料中重要的缺陷之一。人们普遍认为在块体晶体材料中小角晶界(取向差小于15°)由位错墙构成,而大角晶界(取向差大于15°)则以结构单元而不是位错的形式存在。随着晶体材料的尺寸逐渐减小,大量存在的表面对材料的结构和变形行为会产生显著影响。
近日,耀彩网固体原子像研究部杜奎研究组与先进炭材料研究部李峰研究员、非平衡金属材料研究部金海军研究员等人合作,利用原位像差校正高分辨透射电镜、旋进电子衍射和定量应变分析,在尺寸小于10纳米的金纳米线中发现晶界结构存在显著的尺寸效应,该尺寸效应能有效地提高纳米线的力学及导电稳定性。这一研究揭示了超纳尺度金属材料中晶界结构的尺寸效应及行为。
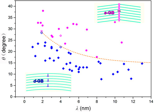
研究结果表明,当纳米线直径大于10纳米时,取向差小于15°的晶界以位错型(DGB)形式存在,而取向差大于15°的晶界以结构单元型(SGB)存在,与块体材料相似。随着纳米线直径减小到10纳米以下, 位错型与结构单元型晶界的临界取向差将大于15°并且随纳米线直径减小而增大。当纳米线直径为2纳米时,取向差为28.6°的大角晶界仍然以位错型的形式存在。定量应变分析发现,位错型晶界的周围存在明显的弹性应变场而结构单元型晶界周围没有,这使得位错型晶界的宽度明显宽于结构单元型,这个特征可以用来区别这两种晶界。原位像差校正电子显微学研究表明,尺寸效应形成的位错型晶界可以在外加应力作用下以位错墙滑移的方式进行晶界迁移,从而避免了传统大角晶界的晶界滑移,这有效地提高了纳米线的力学稳定性。原位透射电镜形变和电学测量结果表明,纳米线中位错型晶界导致的电阻增加远低于结构单元型晶界,这也提高了纳米线的导电稳定性。这一原子尺度的原位定量电子显微学研究揭示了超纳尺度小尺寸金属材料中晶界结构的尺寸效应,这一效应同时提高了材料的力学及电学稳定性,因而可能为微电子互连以及纳米器件的设计提供新的思路。
该研究得到了国家自然科学基金、中国科学院前沿科学重点研究项目的资助。
相关论文近日在线发表于《物理评论快报》(Physical Review Letters)上。
全文链接

图1 (a-d) 位错型晶界(DGB)和(e-h)结构单元型晶界(SGB)的像差校正电子显微像及定量应变分析。

图2 两种类型晶界随纳米线尺寸及晶界取向差变化的统计分布。

图3 位错型到结构单元型再到位错型晶界结构的动态演化过程及其定量应变分析。