光催化技术在能源利用、环境保护等领域都具有广阔的应用前景。光催化过程可大致划分为光能吸收、光生电荷分离和表面反应三个主要步骤,其中光生电荷能否有效分离直接制约着整个光催化过程的效率。通过材料设计为光生电荷的迁移提供足够的驱动力,可以有效提高光生电荷分离效率,增强材料的光催化效率。近年来,极性光催化材料研究得到了迅速发展。由于其正负电荷中心不重合,极性光催化材料自身的内建电场为光生电子与空穴的分离提供了驱动力,从而可能获得高效光催化能力。
在众多光催化材料中,Aurivillius型氧化物由于具有合适的能带位置和丰富的元素组成,近年来引起了科研工作者的关注。通常情况下,Aurivillius型氧化物材料指的是Bi系二元金属氧化物层状钙钛矿结构材料,由[MO6]2-钙钛矿片层(M代表其他金属元素)和[Bi2O2]2+萤石片层交替排列堆叠形成。Aurivillius型氧化物是一种极性材料,有利于光生电子与空穴的分离;而其层状堆叠的结合方式使其晶格易于在堆叠方向发生变形,为其自身内建电场的调控与光催化效率的提升带来可能。
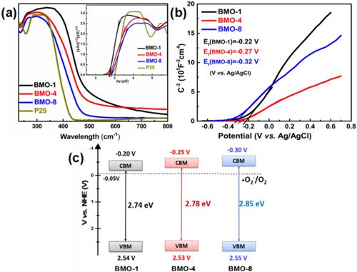
沈阳材料科学国家(联合)实验室环境功能材料研究部李琦研究员最近提出,晶格调控可能成为一种增强极性光催化材料性能的新思路。在可见光光催化材料Bi2MoO6研究中,李琦研究员及其研究团队发现通过改变Aurivillius型光催化材料极性方向的晶格常数,材料的光催化性能能够得到显著增强。他们与北京航空航天大学祝令刚博士合作,通过DFT理论计算预测了Bi2MoO6极性方向晶格常数b的变化对材料偶极矩的调控规律。由于Bi2MoO6晶体晶格常数b的变化同时会带来晶格原子相对位置的弛豫,因而与直观感受相反,极性方向晶格常数b的减少反而会导致Bi2MoO6的偶极距增大,增强其极性,提高其内建电场强度。通过在溶剂热合成过程中调整反应溶液pH值,控制铋离子与钼离子在成核、聚合以及脱水结合过程中的结晶行为,他们成功降低了Bi2MoO6的晶格常数b值,获得了一系列具有不同晶格常数b值的Bi2MoO6纳米光催化材料。二次谐波测试(SHG测试)结果证实,晶格常数b值越小,Bi2MoO6材料的极性越大,也就越有利于光生电荷的分离。光电测试的相关结果进一步表明,该系列Bi2MoO6纳米光催化材料的光生电荷分离效率随着其晶格常数b值的减少而提高。选取水中常见的模型污染物抗生素、苯酚以及金黄色葡萄球菌进行光催化净化测试,结果也呈现出与光电测试一致的规律,即材料对这些模型污染物的光催化净化效率随着晶格常数b值的减少而增强。此项研究工作表明,晶格调控能够有效影响极性光催化材料的极性强弱,从而增强极性光催化材料性能。这为高效层状极性光催化材料的设计提供了新的思路,有望获得广泛应用。相关研究结果发表在ChemSusChem(http://dx.doi.org/10.1002/cssc.201800180)。
该项研究工作得到了国家自然科学基金、沈阳材料科学国家(联合)实验室基础前沿创新项目以及山东省自然科学基金的支持。

图1. (a)Bi2MoO6晶格结构示意图;(b)Bi2MoO6极性方向晶格常数b的变化对材料偶极矩影响的DFT理论计算结果。

图2. Bi2MoO6系列样品的(a)光吸收特性、(b)Mott-Schottky图与(c)能带结构。

图3. Bi2MoO6系列样品的(a)二次谐波测试(SHG测试)结果、(b)光电流响应测试结果、(c)电化学阻抗测试结果与(d)IPCE测试结果。

图4. Bi2MoO6系列样品的(a)抗生素、(b)苯酚与(c)金黄色葡萄球菌可见光光催化净化效果。