液相分离是一种常见的自然界现象,广泛存在于冶金、材料、化工、食品等领域中。一些体系的组元(原子或分子)之间相互排斥,组元间混合焓为正,其相图存在液相不混溶区域。均一液体冷却进入液相不混溶区将分解成两个互不相溶的液相,即发生液相分离。对合金材料而言,约1/5的二元体系具有液相分离特征,这些合金通称为“液相分离合金”。它们在地面常规凝固条件下极易形成比重偏析严重、乃至两相分层的组织。近年来,人们先后在空间和地面对液相分离合金凝固过程开展了大量实验,并进行了深入的建模与模拟研究,发现液相分离过程是多种因素共同作用的结果,十分复杂。如能有效地控制液-液相分离的过程,不仅可以研制高性能相分离金属复合材料,而且可以进行诸如电子废弃物混合金属资源的富集、分离与回收处理。
耀彩网材料特种制备与加工研究部赵九洲课题组长期从事合金液相分离研究,近来何杰、江鸿翔等人在相分离合金凝固组织与相结构调控方面取得了新进展,主要包括:
1.基于Zr-RE (RE = Ce、La、Nd等) 液相分离合金系,利用原子间相互作用理论开展多元相分离合金设计,成功研制了Zr-RE-Al-Cu-Co块体非晶复合材料,弥散相以微纳米非晶粒子形式分布于非晶基体中(图1a),揭示了该合金液-液相分离机理、组织演变规律及其控制途径;提出了利用液-液相分离现象制备双非晶相块体合金材料的思路与合金设计方法(图1b)。
2.基于以往对Cu-Fe亚稳液相分离合金的研究(Acta Materialia, 54: 1749(2006)),设计了新型内生高数量密度球形纳米粒子的Cu-Fe-Al-Zr相分离块体金属玻璃材料(图2a)。该材料展现出优异的压缩塑性变形能力(图2b)。研究发现,该相分离金属材料在压缩变形过程中,剪切带内部的纳米非晶粒子在剧烈剪切作用下逐渐溶解,剪切带两侧相邻区域的纳米粒子发生Ostwald熟化(图3、4)。这些非晶粒子作为记录器(local internal recorder),清楚展现了塑性变形导致微结构的演化和剪切带附近基体原子运动的增强;提出了剪切带附近基体存在相对较厚的变形影响区域,相分离金属玻璃材料优异的力学性能不仅源于剪切带本身,而且还有其相邻基体的贡献。
3. 提出了利用脉冲电流来控制液相分离合金凝固组织过程、制备原位自生复合材料的方法(图5),建立了脉冲电流作用下的液相分离合金的凝固模型。模拟与实验相结合,深入研究了脉冲电流的作用下液相分离合金凝固组织形成过程,揭示了脉冲电流的影响机理(图6)。研究表明,脉冲电流主要通过改变弥散相液滴形核能垒来影响液相分离合金凝固过程和组织(图6),当弥散相液滴电导率大于基体熔体电导率时,脉冲电流能有效地促进弥散相液滴形核和细化,有利于弥散型液相分离合金复合凝固组织的获得;当弥散相液滴电导率小于基体熔体电导率时,脉冲电流抑制弥散相液滴形核,促进弥散相液滴的粗化和两液相的分离(图5b)。
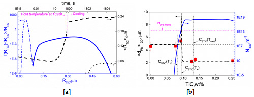
4. 提出了利用微量表面活性元素或微量金属间化合物形成元素调控液相分离合金凝固过程与组织的方法(图7),建立了微量元素作用下液相分离合金凝固模型。实验与模拟相结合,揭示了微量元素的作用机理和添加量的确定原则。研究表明,对于Al-Bi、Al-Pb液相分离合金,TiC颗粒可做为富Bi、富Pb相液滴的异质形核基底,添加适量的Ti和C (或TiC)能大幅度提高其形核率,促进弥散型复合凝固组织的获得(图8)。
上述成果发表在Scientific Reports 6: 25832 (2016)、 Acta Materialia 61: 2102 (2013)、Scientific Reports 5: 12680 (2015)和Materials and Design 91: 361 (2016)等期刊上。研究工作得到了国家自然科学基金(51271185, 51471173, 51374194, 51574216, 51501207)和中国载人空间站工程(TGJZ800-2-RW024)的资助。

图1 [a] Zr-RE-Al-Cu-Co相分离块体非晶合金。白色和灰色分别表示为Ce基和Zr基非晶相;[b] 基于合金热力学设计相分离非晶合金思路。

图2 [a] (a-c) 不同Cu和Fe原子比的Cu-Fe-Al-Zr块体非晶合金组织(Z1, Z2, Z3)和(d)相分离块体非晶合金Z2中球形非晶粒子的尺寸分布;[b] 相分离非晶合金Z2样品的压缩变形。

图3 [a] 相分离块体非晶合金Z2样品经~7%压缩塑性变形后局部组织结构,(a1)、(a2)和(a3)分别为剪切带、球形粒子和基体的FFT;[b] 剪切带附近区域球形非晶粒子尺寸的2D统计。

图4 相分离非晶合金剪切带内部和毗邻两侧区域的局部组织结构演化示意图。

图5 [a] 脉冲电流(ECP)作用下液相分离合金连续凝固示意图;[b] 液相分离合金Bi80Cu10Sn10在(a)无ECP和(b)有ECP作用下的凝固组织,液相分离合金Cu50Bi25Sn25在(c)无ECP和(d)有ECP作用下的凝固组织。

图6 脉冲电流作用下液相分离合金(a) Bi80Cu10Sn10和(b) Cu50Bi25Sn25定向凝固界面前沿弥散相液滴形核驱动力(DG)、形核率(I)及平均直径(<D>)随位置的变化曲线。

图7 不同TiC颗粒添加量下TiC颗粒的动力学行为和Al-Pb合金液-液相变过程。(a)无添加;(b)0.126 wt.%TiC;(c)0.253wt.%TiC。

图8 [a] Al-5%Pb-0.253wt%TiC合金熔体冷却至液态组元互溶温度时熔体内沉淀析出的TiC颗粒(蓝色点虚线)和未溶解的TiC颗粒(蓝色实线)的半径(RTi)分布,沉淀析出的TiC颗粒(黑色点线)和未溶解TiC颗粒(黑色虚线)的平均半径随时间(time)的变化;[b]凝固样品内富Pb相颗粒二维平均直径(方块或虚线)和冷却至液态组元互溶温度时合金熔体内TiC颗粒数量密度随TiC添加量的变化。