自2004年石墨烯被发现以来,探寻其他新型二维晶体材料一直是二维材料研究领域的前沿。正如石墨烯一样,大尺寸高质量的其他二维晶体不仅对于探索二维极限下新的物理现象和性能非常重要,而且在电子、光电子等领域具有诸多新奇的应用。近年来,除石墨烯外,二维六方氮化硼、过渡族金属硫化物、氧化物、黑磷等二维材料也被制备出来,极大地拓展了二维材料的性能和应用。
过渡族金属碳化物是一类庞大的材料家族,它结合了陶瓷和金属的特性,一方面具有很高的强度和硬度,以及高熔点、高温下优异的稳定性和抗腐蚀性,良好的抗热震性和低的化学反应活性;另一方面,它们具有优异的催化活性,在诸多化学反应中可与常用的贵金属催化剂相媲美。此外,很多过渡族金属碳化物,如Mo2C、W2C、WC、TaC 及NbC等,都具有超导特性。因此,过渡族金属碳化物在电子、催化、储能、极端条件下使用的工具等领域有着广泛的应用。
几年前,科学家通过使用氢氟酸或者氟化锂与盐酸的混合溶液刻蚀去除层状三元陶瓷MAX相中的金属层(如铝等),制备出了功能化的过渡族金属碳化物纳米片。研究表明,这种材料具有优异的热电转换和电化学能量存储等性能。然而,与氧化石墨烯类似,这种方法制得的功能化的二维过渡族金属碳化物纳米片的片层尺寸小,在数纳米到数微米之间,并且存在大量的缺陷和官能团,限制了对二维过渡族金属碳化物基本物性的研究和应用探索。
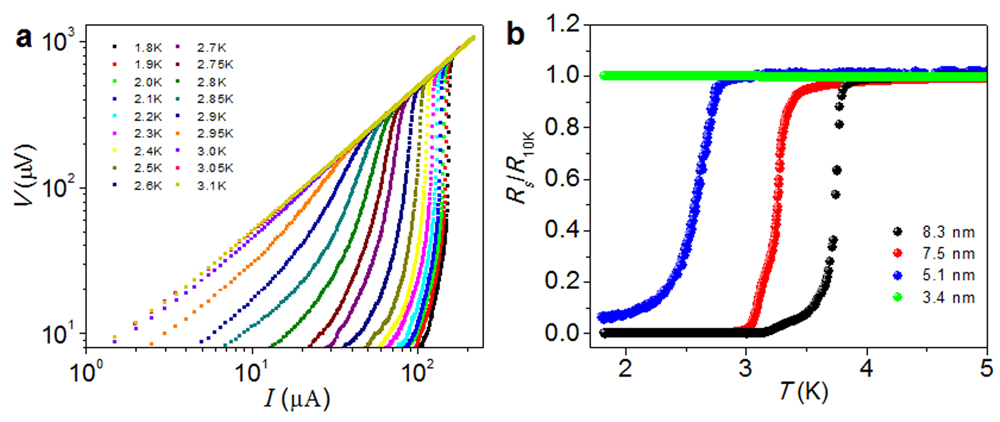
最近,沈阳材料科学国家(联合)实验室先进炭材料研究部的任文才研究组在大尺寸高质量二维过渡族金属碳化物晶体的制备与物性研究方面取得了重要突破。他们提出了采用上层铜箔/底层钼箔构成的双金属叠片作为生长基体的化学气相沉积(CVD)方法,在高温下通过铜催化裂解甲烷生成的碳原子与扩散到铜表面的钼原子反应生长出高质量的超薄二维Mo2C晶体。这些二维Mo2C晶体具有规则的几何形状,仅有几个纳米厚,尺寸可达上百微米,并且具有很高的化学和热稳定性。他们与固体原子像研究部的马秀良研究组合作对材料的结构进行了详细表征,发现这种材料为正交结构(α-Mo2C),具有很高的结晶质量,结构均一,无缺陷、杂质等。他们进而与北京大学信息科学技术学院电子学系的康宁研究组合作研究了材料的电学输运特性,发现这种高质量的二维超薄α-Mo2C晶体在低温下具有超导特性,其转变特性表现出二维的 Berezinskii-Kosterlitz-Thouless相变特征、且随磁场方向呈现出各向异性的二维超导特征,是一种干净的二维超导体,且其超导特性强烈依赖材料的厚度,并在厚度为~3 nm的样品中观察到了金属-绝缘体相变行为。
这种以双金属叠片为基体的CVD方法具有很好的普适性和可控性,可以用于制备其他二维过渡族金属碳化物,例如他们通过使用不同的底层金属箔片还制备出了高质量的六方结构的二维WC晶体和立方结构的二维TaC晶体,并且通过简单改变CVD参数可实现对二维晶体厚度和尺寸的控制。这类高质量二维过渡族金属碳化物晶体为二维材料家族增添了新的成员,不仅为研究其本征物性以及与现有二维材料不同的新物性和新应用提供了可能,而且可用于与其他二维晶体材料一起构筑新型叠层异质结构,拓展了二维材料的物性和应用空间。
该工作得到了国家自然科学基金委杰出青年基金、重大项目、创新群体以及中科院重点部署项目等的资助,于8月17日在Nature Materials上在线发表(Nature Materials, DOI: 10.1038/nmat4374, 2015),并被以“Chemical vapour deposition: Transition metal carbides go 2D”为题在同期的News & Views栏目中进行了重点介绍。
全文链接:
http://www.nature.com/nmat/journal/vaop/ncurrent/full/nmat4374.html

图1 CVD方法制备的大尺寸、高质量二维超薄α-Mo2C 晶体

图2 高质量超薄α-Mo2C晶体的二维超导特征

图3 CVD方法制备的高质量(a,b)二维WC晶体和(c,d)二维TaC晶体