新闻动态
·综合新闻
·科研动态
·学术活动
·媒体聚焦
·通知公告
您现在的位置:首页 > 新闻动态 > 科研动态
镁合金搅拌摩擦加工研究取得系列进展
 
2012-05-24 | 文章来源:非平衡金属材料研究部        【 】【打印】【关闭

  镁合金作为最轻的金属结构材料,在航空航天、汽车、电子等领域具有广泛应用。但因其塑性成形性差,目前镁合金产品多为铸件。铸造镁合金组织粗大,且第二相通常沿晶界呈网状分布,还常伴有孔洞等铸造缺陷。为提高力学性能,必须改善第二相的形态和分布。常规工艺是进行T6处理,即通过高温固溶溶解粗大第二相,然后人工时效析出细小粒子。然而,合金元素在镁中扩散速率很低,需要长时间的固溶处理。比如,对于AZ91和AZ80合金,需要在415oC固溶处理~40 h才能使粗大的β-Mg17Al12相溶解,这不仅耗时、耗能,而且容易导致材料表面氧化和晶粒急剧长大。此外,固溶处理也无法消除合金中的孔洞缺陷。传统的锻造、挤压等塑性变形工艺虽然也可细化、致密化组织,但由于受镁合金塑性变形能力的约束,而且会形成强烈的变形织构。更为重要的是,对于已成型的零件,上述方法无能为力。

  能否建立一种工艺,不仅能够细化、均匀化、致密化镁合金组织,而且能够同时实现第二相的溶解且不改变工件的形状和尺寸?沈阳材料科学国家(联合)实验室马宗义研究员所领导的课题组,采用搅拌摩擦加工技术(Friction Stir Processing, FSP),针对这一问题进行了深入细致的研究,研究工作取得了一系列的进展。

  他们对高铝含量的Mg-Al-Zn和稀土镁合金进行了研究,发现FSP能够破碎粗大的铸态组织并导致动态再结晶;破碎粗大的网状第二相粒子并使其大部分溶解;消除孔洞疏松等铸造缺陷。1-2道次的FSP即可实现微观组织重构,把粗大非均质铸造组织转变成细小、均匀、致密的锻造组织(图1)。尤其重要的是,FSP获得的是等轴细晶结构的过饱和固溶体,并且具有高角晶界比率高、织构弱的特点,这是其它塑性加工手段无法实现的。人工时效后,FSP合金中析出弥散的第二相粒子,显著提高了材料的力学性能。例如,对于铸造AZ80镁合金,FSP后的屈服强度、抗拉强度、延伸率较铸态母材分别提高了63%、170%、510%;FSP+时效后,分别提高了130%、194%、315%。对于铸造AZ91D,FSP后疲劳强度从45 MPa提高到105 MP(图2a)。此外,FSP能够实现镁合金铸件的缺陷修复,例如,对于Mg-Nd-Zn-Zr铸件的10mm深缩松区,FSP修复后强度和塑性均高于无缺陷母材。

  除显著改善力学性能外,FSP还是获得镁合金超塑性的理想加工手段。例如,FSP的Mg-Zn-Y-Zr在450oC和1×10-2 s-1的高应变速率下获得了1110%的良好超塑性(图2),FSP Mg-Gd-Y-Zr在415oC和1×10-3 s-1的应变速率下也获得1110%的超塑性。FSP所获得的超塑性值和最佳超塑变形温度及应变速率均明显高于其它加工工艺取得的效果,这主要是因为:细小等轴晶粒有利于晶界的滑移和转动;适量的第二相弥散粒子不仅明显提高细晶结构的热稳定性而且大大减少孔洞萌生的可能;高比例的高角晶界促进晶界滑移而明显加速超塑变形动力学。

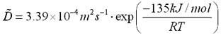
  FSP一个显著特点是,在极短时间内使大部分第二相溶入基体,类似现象在搅拌摩擦焊过程中也有报道。然而这一现象一直没有从理论上得到解释。他们通过分析Mg-Al合金的扩散过程合理解释了这一现象。在常规静态热处理条件下,Al在Mg中的扩散系数为:,对扩散距离d所需扩散时间为:。对于晶粒尺寸100 µm的铸造镁合金,在415oC常规固溶温度下完成扩散所需时间为37 h,这与Mg-Al合金的常规固溶处理时间一致。在FSP过程中,剧烈塑性变形明显细化晶粒、破碎第二相粒子,使扩散距离显著缩短。假定晶粒尺寸为1 µm,则扩散时间仅为13 s。此外,剧烈塑性变形使元素由体扩散为主转为沿位错的管扩散为主,扩散速率增大1000倍,对同样距离,扩散时间将缩短1000倍。因此,在FSP十几秒的瞬间高温下完成粗大第二相的溶解是完全可能的。此外,他们对镁合金FSP过程中的变形机制进行了分析,发现对于预固溶+FSP制备的AZ80样品,连续动态再结晶为主要再结晶机制,同时孪生机制也发挥重要作用;而对于两道次FSP样品,由于一道次FSP后晶粒已明显细化,第二道次FSP过程中孪生难以发生,因而再结晶机制为连续动态再结晶和非连续动态再结晶。

  可见,利用FSP的剧烈塑性变形与温升以及由此产生的机械破碎及均匀混合、动态再结晶、元素加速扩散,可同时实现铸造镁合金的细化、致密化、均匀化,改善其力学性能并赋予其超塑性特性。尤其是FSP具有固溶处理的功效,并可对零件进行局部强化或缺陷修复,这是传统的热处理和塑性加工技术无法比拟的。由此建立了改善镁合金力学性能的FSP+时效工艺,该研究结果对于理解镁合金的再结晶机制和元素扩散也有重要参考价值。

  系列论文先后发表在Acta Mater (57, 14 (2009) 4248)、Scripta Mater (56, 5 (2007) 397; 58, 5 (2008) 361; 61, 6 (2009) 568, 65, 4 (2011) 335), Metall Mater Trans A (40, 10 (2009) 2447; 43, 6 (2012) 2094)、J Mater Res (23, 5 (2008) 1203)、J Alloy Compd (509, 6 (2011) 2879) 等期刊上,其中发表在Scripta Mater上的一篇论文被评为2007年中国百篇最具影响国际学术论文。

文档附件

相关信息
联系我们 | 友情链接
地址: 沈阳市沈河区文化路72号 邮编: 110016
耀彩网 版权所有 辽ICP备05005387号-1

官方微博

官方微信