人才信息库
王镇波
性 别 最高学历 博士研究生
职 称 研究员 专家类别 硕士生导师
部 门 沈阳材料科学国家研究中心/纳米金属研究部
通讯地址 辽宁省沈阳市沈河区文化路72号,纳米金属研究部
邮政编码 110019 电子邮件 zbwang@imr.ac.cn
电 话 +86-24-23971890 传 真 +86-24-23998660
简历:

  教育经历:

  19929月-19966月  中南工业大学 材料科学与工程    学士

  19969月-19996月  耀彩网 材料学      工学硕士

  19999月-20046月  耀彩网 材料学      工学博士

  工作经历:

  20046月-20069   耀彩网   助理研究员

  20053月-20062   法国Troyes技术大学  博士后

  20069月-20109   耀彩网  副研究员

  20073月-20086   德国Muenster大学材料物理研究所 洪堡学者

  20109月 至今         耀彩网  项目研究员/研究员

研究领域:

  (1)纳米材料的扩散与相变行为

  (2)金属材料的表面纳米化技术及特性

承担科研项目情况:

  (1) 表面机械研磨处理(SMAT)所制备梯度结构表层中的界面扩散行为

  发展了扩散方程在层状材料中的解法,求解出梯度结构表层中表层和次表层的名义扩散系数;得出表面纳米化所制备纳米晶Cu中大角晶界的扩散系数和界面能,其扩散系数比粗晶样品中普通晶界的扩散系数高出4-5个数量级(Fig. 1),界面能比普通晶界的界面能高出~30 %;得出表面纳米化纯Cu中孪晶界的扩散系数和界面能,其扩散系数与粗晶样品中普通晶界的扩散系数相当;阐明了纳米晶Cu中晶粒长大过程对扩散动力学的影响关系。

  

  Fig. 1. Variation of the effective diffusion coefficient of 63Ni in different regions of the SMAT surface layer of Cu at 403 K. Diffusivities along twin-boundaries (TBs) and different grain-boundaries (GBs) in the SMAT surface layer, as well as the one along high-angle GBs (HAGBs) in a high-purity coarse-grained (CG) Cu, are shown for comparison.

  研究了SMAT制备纳米晶Fe的微观结构热稳定性和Cr在纳米晶Fe中的扩散行为,结果表明,晶粒尺寸的热稳定可维持到550°C,在300~380°C温度范围内,其名义扩散系数比Cr在粗晶Fe中的常规晶界扩散系数高4~5个量级。扩散性能的提高源于其中大量具有高位错密度的非平衡晶界和大量三叉晶界。SMAT处理过程的高应变量、高应变速率和较低环境温度均有利于提高所制备材料的扩散性能。

  相关结果发表于Applied Physics Letters 93 (2008) 131904Acta Materialia 58 (2010) 2376Acta Materialia 51 (2003) 4319等上。

  (2) 动态塑性变形(DPD)制备纳米晶纯Cu中的界面扩散行为

  

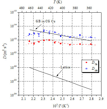
  Fig. 2. Temperature dependences of diffusivities of Zn along GBs and TBs in the nanostructured Cu prepared by LNT-DPD, in comparison with the temperature-dependences of the GB diffusivity and of the lattice diffusivity in a CG Cu.

  发展了两种不同类型扩散通道并存的材料在再结晶过程中扩散方程的解法,求解出DPD所制备纳米晶Cu中晶界和孪晶界的扩散系数。如Fig. 2所示(Acta Materialia 59 (2011) 1818),与粗晶样品中的晶界扩散系数相比,DPD所制备纳米晶Cu中的晶界扩散系数在温度为373 K以下时要高出一个量级,在388433 K内与之相当;与粗晶样品中非共格孪晶界的界面能相比,DPD所制备纳米晶Cu中孪晶界的界面能在温度为373 K以下时要高出~0.1 Jm-2,在388433 K内与之相当。

  (3) 表面纳米化P92型铁素体钢在退火过程中的奥氏体相变和微观结构演化

   

  Fig. 3. Variation of average ferrite grain size of the topmost layer in the SMAT sample with an nealing temperature.

  通过SMAT实现了P92钢的表面纳米化,发现由于表层中碳化物颗粒的分布更加弥散以及形成大量界面,不但加快了奥氏体相变的动力学过程,而且在热力学上可促进奥氏体相变。在20 K/min的升温速率下,当碳化物颗粒的平均尺寸小于20 nm时,经过围绕碳化物颗粒的奥氏体相转变,样品即可实现完全奥氏体化,而含有较大尺寸碳化物颗粒的样品还需要一个均匀化过程才可实现完全奥氏体化;同时,纳米晶的奥氏体相变开始温度较原始样品的大幅度降低(参见Acta Materialia 59 (2011) 3710)。将表面纳米化样品在不同温度退火,发现表层铁素体晶粒先随温度升高逐渐长大,在973 K时达到一个最大值,然后随温度进一步升高反而减小(如Fig. 3)。表层铁素体晶粒在9731173 K随退火温度升高而细化的原因可能是加热过程中形成的奥氏体相在降温过程中又分解为细小的铁素体和碳化物,从而造成铁素体晶粒的平均尺寸减小(参见Journal of Materials Science & Technology 28 (2012) 41)。

  (4) 纳米晶纯铁的反应扩散行为

  发现在相同升温速度下,晶粒尺寸约为10 nm的纯FeZn的化合反应起始温度比粗晶材料中的显著降低、反应焓显著提高。这主要是由于纳米晶中的高能晶界提高了相同温度下形成化合物的驱动力、并提供了大量的优先形核位置。此外,还发现纳米晶FeFe-Zn化合物层的生长速度大于粗晶样品上化合物层的生长速度(Fig. 4),前者的生长激活能为108 kJ/mol,显著小于后者的生长激活能(167 kJ/mol)。相关结果参见Acta Materialia 60 (2012) 1762。  

  Fig. 4. Cross-sectional SEM morphologies of (a) the Zn/SMAT-Fe couples and (b) the Zn/CG-Fe couples after diffusion annealing at 280°C for 240 min, and (c) variations of Zn concentration with the depth from the topmost surface in both samples.

社会任职:

  辽宁省“百千万人才工程”千人层次人选(2013年)。

  聘为中国有色金属学会理化检验学术委员会委员。

  担任Diffusion in MaterialsDIMAT)国际会议咨询委员会委员。

  担任国际期刊Scripta MaterialiaMaterials Science and Engineering ASurface and Coatings Technology等国际期刊的独立审稿人。

获奖及荣誉:

  2013年,中国产学研合作创新成果奖;

  2013年,SYNL青年创新奖一等奖;

  2009年,获辽宁省自然科学一等奖(第4完成人);

  2007年,获德国洪堡奖学金。

代表论著:

  (1) H.W. Huang, Z.B. Wang*, J.Lu and K. Lu. Fatigue behaviors of AISI 316L stainless steel with a gradient nanostructured surface layer. Acta Materialia, 87 (2015) 150–160.

  (2) Y.L. Liang, Z.B. Wang*, J.B. Zhang and K. Lu. Formation of interfacial compounds and the effects on stripping behaviors of a cold-sprayed Zn–Al coating on interstitial-free steel. Applied Surface Science, 340 (2015) 89–95.

  (3) S. Guo, Z.B. Wang*, L.M.Wang and K. Lu. Lower-temperature aluminizing behaviors of a ferritic–martensitic steel processed by means of surface mechanical attrition treatment. Surface & Coatings Technology, 258 (2014) 329–336.

  (4) H.W. Huang, Z.B. Wang*, X.P. Yong and K. Lu. Enhancing torsion fatigue behaviour of martensitic stainless steel by generating gradient nanograined layer via surface mechanical grinding treatment. Materials Science and Technology, 2013, vol. 29 (Issue 10), pp. 1200–1205.

  (5) H.L. Wang, Z.B. Wang* and K. Lu. Enhanced reactive diffusion of Zn in a nanostructured Fe produced by means of surface mechanical attrition treatment. Acta Materialia, 2012, vol. 60, pp. 1762-1770.

  (6) L.M. Wang, Z.B. Wang* and K. Lu. Grain size effects on the austenitization process in a nanostructured ferritic steel. Acta Materialia, 2011, Vol. 59, pp. 3710-3719.

  (7) Z.B. Wang*, K. Lu, G. Wilde and S.V. Divinski. Effects of grain growth on interface diffusion in nanostructured Cu. Scripta Materialia, 2011, volume 64 (issue 11), pp. 1055-1058.

  (8) H.L. Wang, Z.B. Wang* and K. Lu. Interfacial diffusion in a nanostructured Cu produced by means of dynamic plastic deformation. Acta Materialia, 2011, vol. 59, pp. 1818-1828.

  (9) Z.B. Wang*, K. Lu, G. Wilde and S.V. Divinski. Interfacial diffusion in Cu with a gradient nanostructured surface layer. Acta Materialia, 2010, vol. 58, pp. 2376–2386.

  (10) S.D. Lu, Z.B. Wang* and K. Lu. Enhanced chromizing kinetics of tool steel by means of surface mechanical attrition treatment. Materials Science and Engineering A, 2010, vol. 527, pp.995-1002.

近期学术活动:

  (1) Z.B. Wang and K. Lu. Reactive diffusion behaviors in nanostructured metals produced by means of surface mechanical attrition treatment. 2014 International Conference on Diffusion in Materials (DIMAT 2014), Münster (Germany), 17-22 August, 2014.

  (2) Z.B. Wang, H.W. Huang and K. Lu (Invited talk). Effects of a gradient nano-grained surface layer on the fatigue behaviors of 316L stainless steel. International Conference on Processing & Manufacturing of Advanced Materials (THERMEC’2013), Las Vegas (USA), 2-6 December, 2013.

  (3) Z.B. Wang and K. Lu (Invited talk). SMGT: Optimizing processing parameters for a low roughness and thick deformed layer. 2nd Summer School and Symposium on Nanometals, Weihai (China), 19-23 August, 2013.

  (4) Z.B. Wang and K. Lu (Invited talk). Enhancing Surface Alloying Kinetics of Metallic Materials by means of Surface Nanocrystallization. 2013 China-Germany Workshop on “Microstructure-driven Design and Performance of Advanced Metals”, Shenyang(China), 13-16 April, 2013.

  (5) H.W. Huang, Z.B. Wang, X.P. Yong and K. Lu. Enhanced fatigue property of a martensitic stainless steel with a gradient nano-grained surface layer. TMS2013, 142nd Annual Meeting & Exhibition, San Antonio, Texas (USA), 3-7 March, 2013.

  (6) Z.B. Wang, L.M. Wang and K. Lu. Austenitization Process in a Nanostructured Ferritic Steel Produced by means of SMAT. TMS2012, 141st Annual Meeting & Exhibition, Orlando, Florida (USA), 11-15 March, 2012.
  (also served as Session Chairman of Ultrafine Grained Materials VII: Microstructure-Property Relationships: Fe-, Cu- and High-Entropy Alloys)

  (7) Z.B. Wang and K. Lu. Chemical Reactions in Nanostructured Steels Produced by SMAT. Annual Meeting 2011 CAS-CityU Joint Laboratory of Nanomaterials & Nanomechanics, Hong Kong (China), 28-30 November, 2011.

  (8) 王镇波,卢柯 (Invited). 纳米结构金属材料中的界面扩散特性. 全国有色金属理化检验报告会,贵州贵阳,20111019-22日。

  (9) L.M. Wang, Z.B. Wang and K. Lu (Invited talk). Phase Transformations of Ferrite Austenite in a Nanostructured Ferritic Steel. Sino-Danish Summer School & Symposium on Nanometals for Energy, Qinhuangdao (China), 13-18 August, 2011.

  (10) Z.B. Wang and K. Lu. Interfacial diffusion in nanostructured Cu produced by different plastic deformation routes. The 8th International Conference on Diffusion in Materials, Dijon (France), 3-8 July, 2011.

  (11) Z.B. Wang and K. Lu. Diffusion in nanostructured materials produced by means of Surface Mechanical Attrition Treatment (SMAT). The 5th International Conference on Nanomaterials by Severe Plastic Deformation, Nanjing (China), 21-25 March, 2011.

  (12) S.D. Lu, Z.B. Wang and K. Lu (Invited talk). Chromizing behaviors of a surface nanocrystallized AISI H13 steel produced by SMAT. 2010 Bilateral Workshop of Joint-Laboratory for Nanostructured materials & Mechanical Properties between CAS and HK, Shenzhen (China), 19-21 November.

  (13) H.L. Wang, Z.B. Wang and K. Lu (Invited talk). Diffusivities and excess free energies of grain boundary and twin boundary in a nanostructured Cu produced by DPD. International Workshop on Mechanical Behaviors of Metallic Materials, Jiuzhaigou (China), 11-14 October, 2010.

  (14) Z.B. Wang, K. Lu, G. Wilde and S. Divinski (Invited). Diffusion properties of grain boundaries and twin boundaries in nanostructured Cu. International Workshop on Grain Boundary Diffusion, Stresses and SegregationDSS2010, Moscow (Russia), 1-4 June, 2010

  (15) 王镇波,吕寿丹,卢柯 (Invited). 表面纳米化H13钢的渗Cr特性. 第八届全国表面工程学术会议,北京,2010425-27日。

近期获得专利

  (1) 张伟华,王镇波,张凯,黄海威,卢柯
    一种提高机车轮轴钢旋转弯曲疲劳性能的方法
    申请号:201410407745.X.

  (2) 张伟华,黄海威,王镇波,卢柯
    一种在马氏体钢表面产生梯度纳米结构的方法
    申请号:201410407702.1.

  (3) 戎利建,卢柯,王镇波,宋元元,鲁艳红
    一种提高低活化铁素体/马氏体钢耐铅铋腐蚀性能的方法
    申请号:201410367954.6.

  (4) 戎利建,卢柯,王镇波,宋元元,鲁艳红
    一种提高低活化铁素体/马氏体钢抗高温氧化性能的方法
    申请号:201310287635.X

个人网页: